Beranda
/ Invers Matrik 3X3 / Cara Mencari Determinan Dan Invers Matriks Matematika Kelas 11 - You need to write an augmented matrix containing the original matrix and.
Invers Matrik 3X3 / Cara Mencari Determinan Dan Invers Matriks Matematika Kelas 11 - You need to write an augmented matrix containing the original matrix and.
Invers Matrik 3X3 / Cara Mencari Determinan Dan Invers Matriks Matematika Kelas 11 - You need to write an augmented matrix containing the original matrix and.. Semoga artikel tersebut dapat bermanfaat bagi kita. Sarrus minor kofaktor adjoin dari keempat langkah, hanya adjoin yang belum dibahas. Matriks persegi merupakan matriks yang banya baris dan kolomnya sama. It's written on indonesian language. Matriks kofaktor adalah matriks yang unsurnya diganti dengan nilai determinan yang unsurnya tidak sebaris dan tidak sekolom bagaimana sob ?
Cara cepat dan sistematis invers matriks 3x3 dan spl 3 variabel metode operasi baris elementer (obe) menggunakan kunci ganjil invers dan kunci ganjil spl. Hallo semuanya, kali ini kita akan membahas dan belajar tentang materi pembelajaran pada tingkat sma/ma sederajat kali ini tentang invers matriks. This precalculus video tutorial explains how to find the inverse of a 3x3 matrix. Sometimes there is no inverse at all. Pada matriks 2x2, adjointnya misalkan terdapat suatu matriks 3x3 dengan elemennya adalah sebagai berikut:
Invers Matriks Ordo 3x3 from imgv2-2-f.scribdassets.com Selanjutnya akan dibahas tentang matriks identitas dan invers perkalian matriks persegi ordo (3 x 3). Sedangkan untuk menentukan invers perkalian matriks (3 x 3) dapat dilakukan dengan dua cara, yaitu Sedangkan tiga langkah lainnya sudah pernah dibahas sebelumnya. Determinan dari sebuah matriks dapat diperoleh melalui minor dan kofaktor matriks tersebut. It's written on indonesian language. The calculator will find the inverse of the square matrix using the gaussian elimination method or the adjugate method, with steps shown. You need to write an augmented matrix containing the original matrix and. Memudahkan penggunaan rumus obe da…full description.
Invers matriks ordo 3x3 dengan metode adjoin.
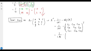
Inverse operations are commonly used in algebra to simplify what otherwise might be difficult. Question 1 question 2 question 3 question 4 question 5 question 6 question 7 question 8. Dan akhirnya saya berhasil membuat program invers matriks 3x3 ini. The calculator will find the inverse of the square matrix using the gaussian elimination method or the adjugate method, with steps shown. This precalculus video tutorial explains how to find the inverse of a 3x3 matrix. Hallo semuanya, kali ini kita akan membahas dan belajar tentang materi pembelajaran pada tingkat sma/ma sederajat kali ini tentang invers matriks. Determinan dari sebuah matriks dapat diperoleh melalui minor dan kofaktor matriks tersebut. 10 lessons • 1h 37m. 8 pengertian matriks invers matrik invers, matrik bujursangkar a disebut mempunyai invers, jika terdapat matrik b, sehingga memenuhi ba=ab=i, lambang: This is an inverse operation. Memudahkan penggunaan rumus obe da…full description. Invers matriks ordo 3x3 matriks 3×3 terbagi menjadi dua jenis matriks, yaitu: A11 a12 a13 a a a 21 22 23 a31 a32 a33.
You need to write an augmented matrix containing the original matrix and. To find the inverse of a 2x2 matrix: Matriks invers ordo 3 3. Pengurangan dan penjumlahan matriks c++. This precalculus video tutorial explains how to find the inverse of a 3x3 matrix.
Matematika Kelas 11 Matriks Ordo 3x3 from imgv2-1-f.scribdassets.com Menentukan determinan matriks ordo 3x3. It's written on indonesian language. Memudahkan penggunaan rumus obe da…full description. Selanjutnya akan dibahas tentang matriks identitas dan invers perkalian matriks persegi ordo (3 x 3). Inverse\:\begin{pmatrix}1 & 2 & 3 \\4 & 5 & 6 \\7 & 2 & 9\end{pmatrix}. Langkah invers matriks 3x3 metode adjoin, yaitu: To find the inverse of a 2x2 matrix: 8 pengertian matriks invers matrik invers, matrik bujursangkar a disebut mempunyai invers, jika terdapat matrik b, sehingga memenuhi ba=ab=i, lambang:
8 pengertian matriks invers matrik invers, matrik bujursangkar a disebut mempunyai invers, jika terdapat matrik b, sehingga memenuhi ba=ab=i, lambang:
It's written on indonesian language. Dan akhirnya saya berhasil membuat program invers matriks 3x3 ini. Sarrus minor kofaktor adjoin dari keempat langkah, hanya adjoin yang belum dibahas. This is an inverse operation. Saya sendiri perlu mengertikan rumus rumusnya terlebih dahulu sebelum membuat coding programnya. You need to write an augmented matrix containing the original matrix and. Menentukan determinan matriks ordo 3x3. Invers matriks ordo 3x3 dengan metode adjoin. Invers suatu matrik seringkali jadi pertanyaan di dalam sebuah soal matriks bahkan sampai muncul dalam beberapa soal matriks. The calculator will find the inverse of the square matrix using the gaussian elimination method or the adjugate method, with steps shown. Hallo semuanya, kali ini kita akan membahas dan belajar tentang materi pembelajaran pada tingkat sma/ma sederajat kali ini tentang invers matriks. Sedangkan untuk menentukan invers perkalian matriks (3 x 3) dapat dilakukan dengan dua cara, yaitu Cara cepat dan sistematis invers matriks 3x3 dan spl 3 variabel metode operasi baris elementer (obe) menggunakan kunci ganjil invers dan kunci ganjil spl.
Invers matriks ordo 3x3 dengan metode adjoin. Minor minor adalah determinan submatriks persegi setelah salah satu baris. # determinan matriks berordo 3 x 3 menggunakan kofaktor menentukan minor $(m)$ dan kofaktor $(c)$ dari matriks berordo 3 # invers matriks berordo 3 x 3 misal $a$ adalah matriks berordo 3 x 3, invers matriks $a$ adalah: This precalculus video tutorial explains how to find the inverse of a 3x3 matrix. Pencarian invers matriks 3x3 dalam c++ lebih rumit dari pencarian invers matriks 2x2.
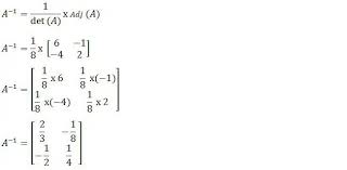
Ppt Matriks Invers Powerpoint Presentation Free Download Id 6383096 from image3.slideserve.com To find the inverse matrix, augment it with the identity matrix and perform row operations trying to make the identity matrix to the left. Determinan matriks dengan metode sarrus. Saya sendiri perlu mengertikan rumus rumusnya terlebih dahulu sebelum membuat coding programnya. Sedangkan untuk menentukan invers perkalian matriks (3 x 3) dapat dilakukan dengan dua cara, yaitu The calculator will find the inverse of the square matrix using the gaussian elimination method or the adjugate method, with steps shown. A11 a12 a13 a a a 21 22 23 a31 a32 a33. Invers matriks ordo 3x3 dengan metode adjoin. To find the inverse of a 2x2 matrix:
Matriks kofaktor adalah matriks yang unsurnya diganti dengan nilai determinan yang unsurnya tidak sebaris dan tidak sekolom bagaimana sob ?
Dalam matriks memiliki aturan tersendiri untuk setiap oprasinya. Invers matriks adalah sebuah matriks lain yang dikalikan dengan matriks tersebut akan membentuk identitas. For example, if a problem requires you to divide by a fraction, you can more easily multiply by its reciprocal. # determinan matriks berordo 3 x 3 menggunakan kofaktor menentukan minor $(m)$ dan kofaktor $(c)$ dari matriks berordo 3 # invers matriks berordo 3 x 3 misal $a$ adalah matriks berordo 3 x 3, invers matriks $a$ adalah: Determinan matriks dengan metode sarrus. Hallo semuanya, kali ini kita akan membahas dan belajar tentang materi pembelajaran pada tingkat sma/ma sederajat kali ini tentang invers matriks. Sometimes there is no inverse at all. Saya sendiri perlu mengertikan rumus rumusnya terlebih dahulu sebelum membuat coding programnya. The calculator will find the inverse of the square matrix using the gaussian elimination method or the adjugate method, with steps shown. Memudahkan penggunaan rumus obe da…full description. Cara cepat dan sistematis invers matriks 3x3 dan spl 3 variabel metode operasi baris elementer (obe) menggunakan kunci ganjil invers dan kunci ganjil spl. 8 pengertian matriks invers matrik invers, matrik bujursangkar a disebut mempunyai invers, jika terdapat matrik b, sehingga memenuhi ba=ab=i, lambang: Invers matriks ordo 3x3 dengan metode adjoin.
Berbagi
Posting Komentar
untuk "Invers Matrik 3X3 / Cara Mencari Determinan Dan Invers Matriks Matematika Kelas 11 - You need to write an augmented matrix containing the original matrix and."
Posting Komentar untuk "Invers Matrik 3X3 / Cara Mencari Determinan Dan Invers Matriks Matematika Kelas 11 - You need to write an augmented matrix containing the original matrix and."